
证明:本文采算科技先容了电子局域函数(ELF)的基本看法、议论递次偏执在材料科学中的哄骗,重心透露了ELF怎么量化电子局域化进度以识别化学键类型、定位孤对电子。
并诱骗密度泛函表面(DFT)等议论递次,揭示化学键本质与反应机理。该函数为领路电子结构提供了直不雅分析器用,对材料诡计和性质辩论具有遑急开发真义。
什么是电子局域函数(ELF)?
电子局域化函数(Electron Localization Function,ELF)是由Becke和Edgecombe于1990年提议的一种实空间函数,用于量化描摹电子在原子、分子和固体中的局域化进度。
ELF的中枢物假想想是基于换取自旋电子对的摈斥作用——当某个空间位置存在电子时,与其同自旋的另一个电子出咫尺隔邻的概率会显耀缩小,这种摈斥作用的强度径直响应了电子的局域性。
从数学界说上看,ELF是一个无量纲函数,其取值畛域在0到1之间。ELF = 1示意电子在该位置富饶局域化,相同于并立原子中的中枢电子或分子中的孤对电子;ELF = 0.5示意电子透清楚类目田电子气举止;
而ELF = 0则示意电子高度离域或者该区域险些莫得电子分散。这一了了的物理界说使ELF成为分析化学键性质和电子分散特征的重大器用。
与总电子密度描摹全体电子分散不同,ELF聚焦于电子的相对局域化特征。总电子密度图清楚的是系统中所有电子的全体分散情况,而ELF揭示的是电子在空间中的局域进度,大概了了折柳共价键、离子键、金属键等不同类型的化学键。
并准确记号孤对电子的位置。这种专有的视角使ELF在领路化学键性质和反应机理方面具有不行替代的价值。

DOI:10.1088/1361-648X/ab7fd8
ELF的议论递次与经过
ELF的议论常常基于第一性旨趣议论递次,如密度泛函表面(DFT)。在主流的议论材料学软件包中,如VASP、Quantum ESPRESSO和CASTEP等皆好意思满了ELF议论功能。在这些软件中,通过毛糙的参数诞生即可进行ELF议论。
从议论经过来看,ELF议论常常包含以下几个要领:当先进行几何结构优化获多礼系的基态电子结构;然后基于照应的波函数议论ELF分散;临了通事后惩办器用进行可视化分析。
通盘经过不错高效地集成到轨范的材料议论职责流中,使得ELF分析成为老例议论的一部分。
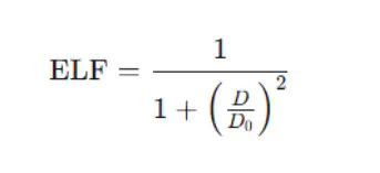
ELF的数学抒发式不错写为:

其中,D示意换取自旋电子对的局域化概率密度,D0对应均匀电子气参考体系的对应量。这个公式的好意思妙之处在于它将复杂的电子关连效应滚动为直不雅的0-1标度,同期保执了与化学直不雅的一致性。
ELF的哄骗畛域
ELF在化学、材料和物理等畛域有着平素的哄骗,其主要价值在于直不雅揭示化学键本质和电子局域特征。通过分析ELF分散,米兰辩论东谈主员大概真切领路分子和固体的成键机制、反应活性和物感性质。
化学键类型识别
ELF是折柳化学键类型的重大器用。在共价键合物如N₂分子中,ELF分析了了清楚了两个特征区域:键轴区域的中等ELF值(约0.5-0.7)代表共价键合电子,而氮原子外侧的高ELF区域(约0.9)则对应孤对电子。
这种分散与氮原子的sp杂化图像一致,印证了ELF成果的可靠性。

DOI:10.1088/1361-648X/ab7fd8
孤对电子识别
ELF绝顶擅长识别孤对电子区域,这对领路分子反应性至关遑急。在水分子中,ELF分析了了清楚了氧原子外围的两个高ELF区域,对应两对孤对电子。
这些区域的电子高度局域化,在分子名义酿成反应活性位点,决定了水分子的氢键酿成智商和亲核反应性。
名义与界面辩论
在名义科学和界面工程中,ELF分析大概揭示名义态和界面键合的特质。在材料名义,由于对称性破缺,电子局域性经常发生显耀变化,影响名义反应活性。通过相比体相和名义的ELF分散,不错领路名义重构、吸讴颂反应的本质。

DOI:10.1126/sciadv.aay8361
论断
电子局域函数行动重大的电子结构分析器用,如故展现出在化学、材料和物理等畛域的专有价值。通过量化电子局域进度,ELF成就了连合量子力学议论与化学直不雅领路的桥梁,成为辩论化学键本质、反应机理和材料性质的不行或缺的手艺。
瞻望将来,ELF分析将延续深化咱们对物资电子结构的意志,在动力材料、量子器件和人命科学等畛域施展更大作用。
绝顶是在多圭臬复杂体系辩论中,ELF可能成为连合不同圭臬的重要,成就从原子键合到宏不雅性质的完好意思图像米兰,鼓励材料科学和化学的进一步发展。
PC加拿大(中国)官方网站





